Members Login
Username 
 
Password 
    Remember Me  
Post Info TOPIC: BeBe Winans Arrested


Calienté!

Status: Offline
Posts: 4578
Date:
BeBe Winans Arrested
Permalink  
 


BeBe Winans' Mug Shot



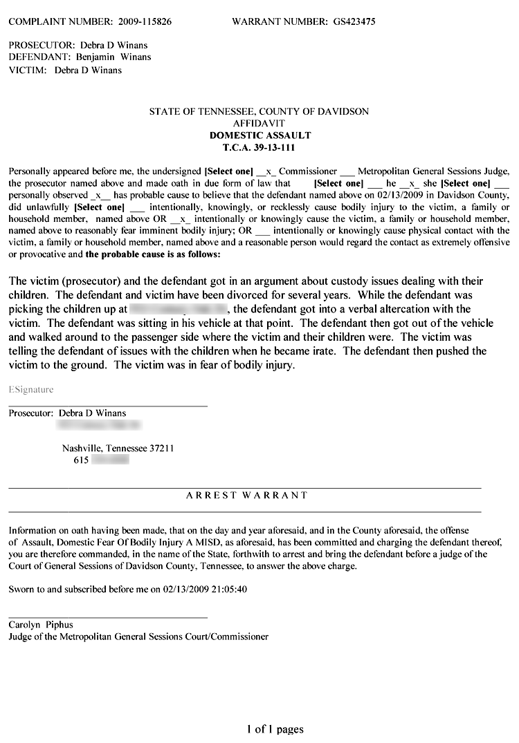
Gospel singer BeBe Winans was booked March 11th on a domestic assault charge for allegedly pushing his ex-wife to the ground during an argument last month. According to a court filing, a copy of which you'll find below, Winans, 46, and his former spouse got into a "verbal altercation" on February 13 about "custody issues dealing with their children." At the time, Winans was at his ex-wife Debra's Nashville home, where he had driven to pick up his children. "The victim was telling the defendant of issues with the children when he became irate. The defendant then pushed the victim to the ground." Winans, pictured in the mug shot at right, was arrested yesterday on a misdemeanor domestic assault charge. He was briefly held at the Davidson County jail before posting $1000 bond. Winans, best known for albums recorded with his sister CeCe, has won four Grammy awards.



Here's a copy of the court filing.


http://1.bp.blogspot.com/_0SWl0hRdg4A/SbplfcCXITI/AAAAAAAAI00/-QURrGfG5xc/s1600/bebewinansaffidavit.gif



Courtesy of Rhymes With Snitch


Yet another celebrity putting his hands on some woman.  Bebe knows better than this. Especially with all of the media coverage on Chris Brown and Rhianna.  The way the media is breaking their necks to get the latest and greatest on CB and Rhi-Rhi, you'd think every man out here would be super-gluing their hands to their sides. No matter how PROVOKING a female can be. And we know we can be some asswipes at times.

I can't help but wonder if Oprah spoke on this yesterday during her 'battered women' show.  The one that she dedicated to 'all of the Rhianna's of the world'.  Is she going to 'reach out' to Bebe's ex-wife? What about Ellen? I wouldn't be surprised if they didn't speak on it.  Hmmm. I think I'm going to watch her show today just to see if she does mention it since she does her live shows on Fridays.


__________________

Shawne Miami Beach

THUMP!!!



Grown

Status: Offline
Posts: 327
Date:
Permalink  
 

Damn BeBe!

__________________

My baby daddy!

christian+keyes+is+hot.jpg

Page 1 of 1  sorted by
 
Quick Reply

Please log in to post quick replies.



Create your own FREE Forum
Report Abuse
Powered by ActiveBoard